国家科技成果网
  • 首页
  • 成果登记
  • 优选资源
  • 精准对接
  • 成果转化
  • 合作专栏
  • 数据排行
  • 政策动态
  • 国家科技成果网 首页 政策 国家 查看内容

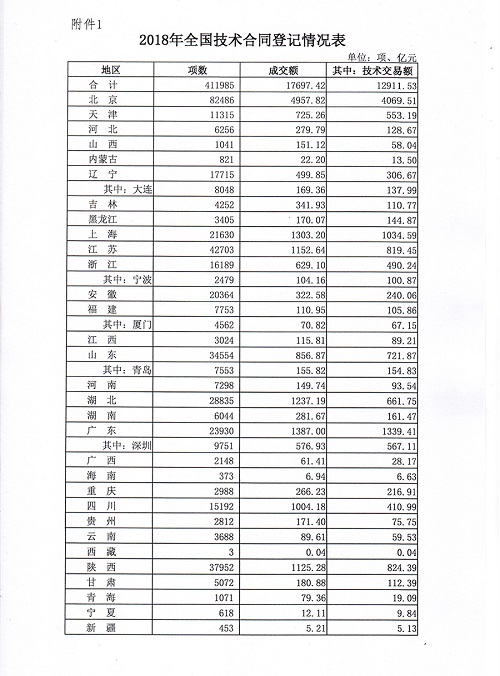
    关于公布2018年度全国技术合同交易数据的通知

    关于公布2018年度全国技术合同交易数据的通知

    WeChat 微信公众号
    WeChat
    Hotline 服务热线
    Hotline